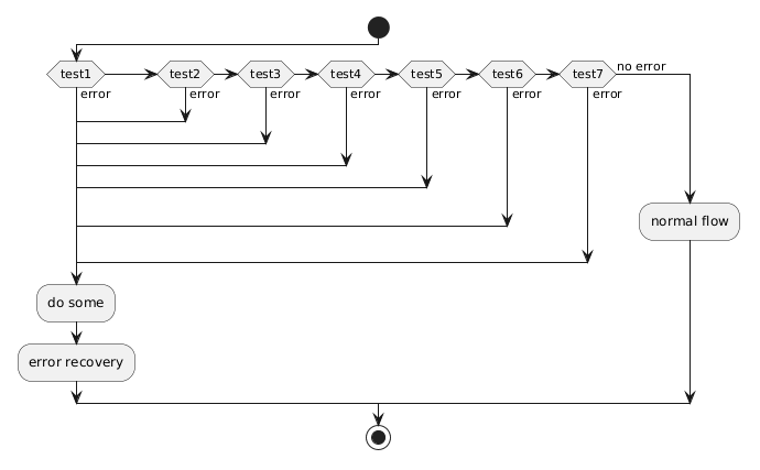
@startuml '!pragma useverticalif on start if (test1) then (error) label d0 label d1 label d2 label d3 label d4 label d5 label error :do some; :error recovery; elseif (test2) then (error) label l2 goto error elseif (test3) then (error) label d0 label d1 goto error elseif (test4) then (error) label d0 label d1 label d2 goto error elseif (test5) then (error) label d0 label d1 label d2 label d3 goto error elseif (test6) then (error) label d0 label d1 label d2 label d3 label d4 goto error elseif (test7) then (error) label d0 label d1 label d2 label d3 label d4 label d5 goto error else (no error) :normal flow; endif stop @enduml
Decode URL
Submit
amiga
aws-orange
black-knight
bluegray
blueprint
cerulean-outline
cerulean
crt-amber
crt-green
cyborg-outline
cyborg
hacker
lightgray
mars
materia-outline
materia
metal
mimeograph
minty
plain
reddress-darkblue
reddress-darkgreen
reddress-darkorange
reddress-darkred
reddress-lightblue
reddress-lightgreen
reddress-lightorange
reddress-lightred
sandstone
silver
sketchy-outline
sketchy
spacelab
spacelab-white
superhero-outline
superhero
toy
united
vibrant
🎉 Discover the future PlantUML Web Editor! 🚀
PNG
SVG
ASCII Art