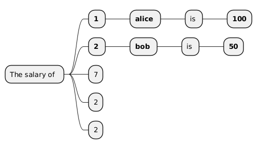
@startmindmap !$foo = { "company": "Skynet", "employees" : [ {"name" : "alice", "salary": 100 }, {"name" : "bob", "salary": 50} ] } !$index=1 * The salary of !foreach $emp in $foo.employees ** **$index** *** **$emp.name** **** is ***** **$emp.salary** !$index = $index+1 !endfor ** %size("company") ** %size($foo.employees) ** %size($foo) @endmindmap
Decode URL
Submit
amiga
aws-orange
black-knight
bluegray
blueprint
cerulean-outline
cerulean
crt-amber
crt-green
cyborg-outline
cyborg
hacker
lightgray
mars
materia-outline
materia
metal
mimeograph
minty
plain
reddress-darkblue
reddress-darkgreen
reddress-darkorange
reddress-darkred
reddress-lightblue
reddress-lightgreen
reddress-lightorange
reddress-lightred
sandstone
silver
sketchy-outline
sketchy
spacelab
spacelab-white
superhero-outline
superhero
toy
united
vibrant
🎉 Discover the future PlantUML Web Editor! 🚀
PNG
SVG
ASCII Art